当前位置:九游(中国)企业 > 武汉同人利生物医药技术有限公司
九游(中国)产品
【产品供应】二羟丙茶碱
公司名称:
类 别:
化学试剂-其他试剂
Cas号:
479-18-5
产品规格:
25KG/桶
包装:
纸板桶
品牌:
TRL
详细说明:
品名 二羟丙茶碱
CAS 479-18-5
EINECS
207-526-1
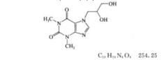
分子式 C10H14N4O4
性状 白色粉末或颗粒
包装 25KG/桶
质量标准 USP

产品参数:
中文名称:二羟丙茶碱
中文别名:新赛林;喘定、甘油茶碱;二羟丙基茶碱;喘定;甘油茶碱;双羟丙茶碱;二羟丙茶碱;1,3-二甲基-7-(2,3-二羟基丙基)-3,7-二氢-1H-嘌呤-2,6-二酮
英文名称:Diprophylline
分子式/结构式: C10H14N4O4
分子量(Mr): 254.2426
用途:用于治疗支气管哮喘
询盘信息
接受人:
1776401520
公司名称:
武汉同人利生物医药技术有限公司
主 题:
内 容:
您的联系信息
姓 名:
*
公司名称:
*
电 话:
*
邮件地址:
*
传 真:
网 址: