当前位置:九游(中国)企业 > 深圳爱拓贸易有限公司
九游(中国)产品
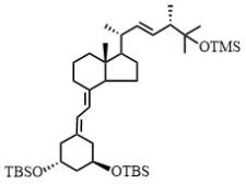
【产品供应】帕立骨化醇中间体N-1
公司名称:
类 别:
九游(中国)中间体-医药中间体
Cas号:
2186604-89-5
详细说明:
暂无数据,具体信息请询盘
产品参数:
中文名称:帕立骨化醇中间体N-1
中文别名:帕立骨化醇中间体N-1
英文名称:Paricalcitol Intermediate N-1
分子式/结构式: C42H77O3Si3
分子量(Mr): 714.31548
询盘信息
接受人:
罗维
公司名称:
深圳爱拓贸易有限公司
主 题:
内 容:
您的联系信息
姓 名:
*
公司名称:
*
电 话:
*
邮件地址:
*
传 真:
网 址: